Back to projects
2024
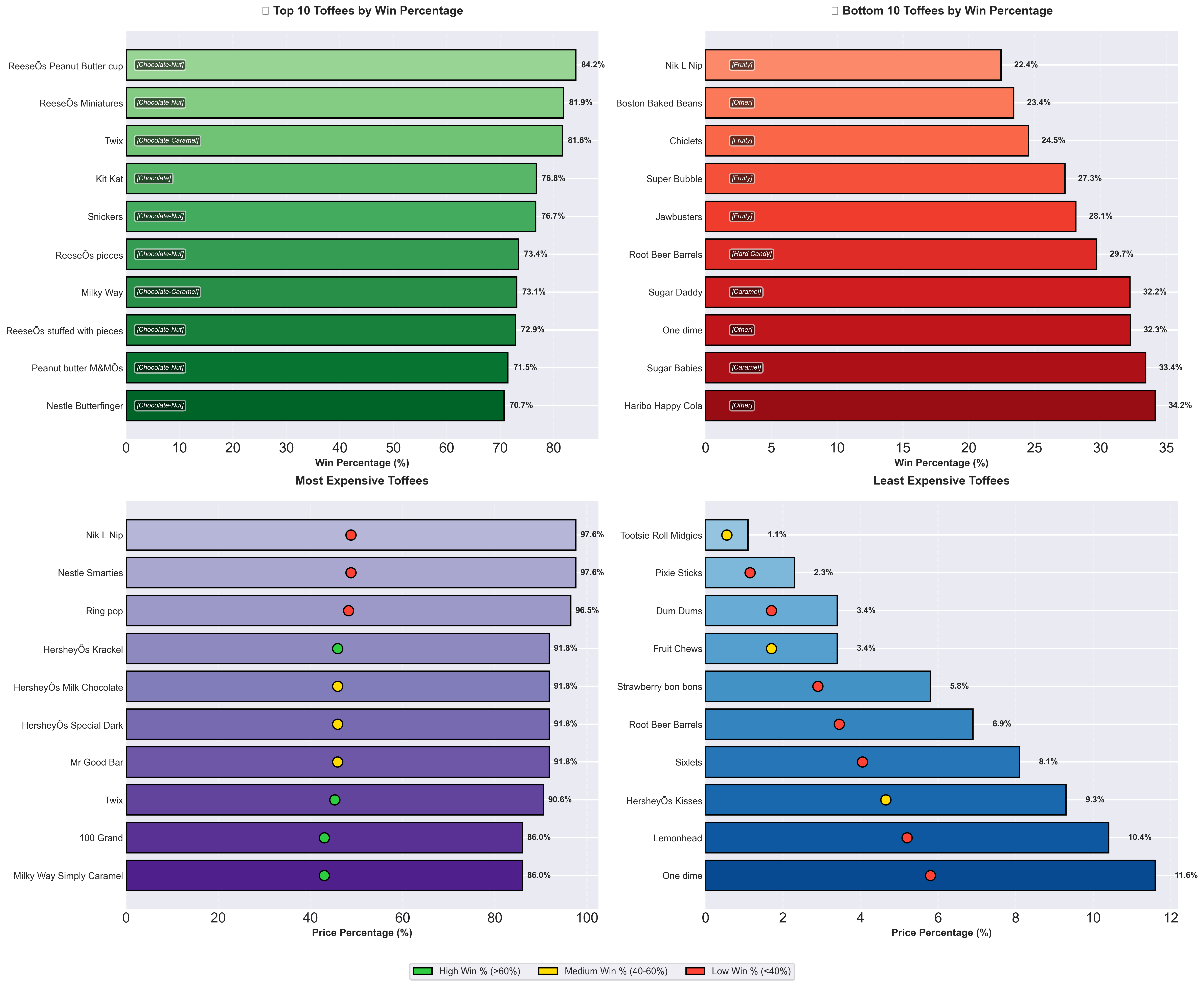
Toffee Data Exploration - EDA in Python & Tableau
Exploratory Data Analysis (EDA) of a toffee dataset using Python (pandas, matplotlib, seaborn) and Tableau. Relationships between sugar content, price, and popularity with scatter plots, pair plots, box plots, bar charts, and dashboards.
PythonpandasmatplotlibseabornscipyJupyterTableauEDAData VisualizationCorrelation AnalysisDashboard
View repositoryProblem statement
Explore what makes certain candies more popular using the same analysis in Python and Tableau: sugar vs price, type-based patterns, top performers, and ingredient impact on win percentage.
Architecture overview
toffee-data.csv → Jupyter (pandas/seaborn) → PNGs + CSVs; same data → Tableau → interactive workbook, dashboard PDF, PPTX.
Challenges & learnings
- Keeping Python and Tableau narratives aligned; learned to structure EDA for dual deliverables.
- Designing an executive dashboard that summarizes key KPIs in one view.
Features
- •Dual implementation: Jupyter notebook (Python) and Tableau workbook
- •Scatter, pair, box, bar charts; correlation heatmap; bubble chart; executive dashboard
- •CSV outputs: analysis summary, correlation matrix, ingredient impact
- •Tableau packaged workbook, dashboard PDF, and PowerPoint deck
Visualizations & outputs
Charts and dashboards from the analysis (Python/Tableau).








